China 200G 400G DCI supplier

Hairtail+ 800G IB NDR OSFP Breakout auf 2xOSFP Direct Attached Cable

Merkmale

  • OSFP-Modul, kompatibel mit OSFP MSA
  • Übertragungsdatenrate bis zu PAM4 106,25 Gbit/s pro Kanal.
  • 800 Gbit/s auf 2x400 Gbit/s Übertragung aktivieren
  • Verbindungslänge bis zu 3 m
  • Integrierte EEPROM-Funktionen  Betriebstemperatur des Gehäuses 0°C bis +70°C
  • RoHS2.0-konform
  • Produktdetail

Hairtail+ 800G IB NDR OSFP Breakout auf 2xOSFP Direct Attached Cable

Ersetzen Sie Nvidia MCP7Y00-Nxxx

800G IB NDR OSFP Breakout to 2xOSFP Direct Attached Cable

Absolute Höchstbewertungen

Parameter Symbol Min Typisch Max Einheit
Versorgungsspannung Vcc 3.13 3.3 3,47 V
Lagertemperatur Ts -40 85
Betriebstemperatur des Gehäuses Tc 0 70
Luftfeuchtigkeit Rh 5 85 %
Datenrate 800 Gbit/s

Physikalische Eigenschaften

Parameter Symbol Min Typisch Max Einheit
Länge L 0,5 3.0 M
AWG 28 25 AWG
Jackenmaterial HAIRTAIL+ Technologie-Netz, Silbergrau

Elektrische Spezifikationen

Parameter Symbol Min Typisch Max Einheit
Widerstand Rcon 3 Ohm
Isolationswiderstand Spülungen 10 Mohm
Rohkabelimpedanz Zca 95 100 110 Ohm
Impedanz des zusammengesteckten Steckers Zmated 85 100 115 Ohm

Maximale Einfügungsdämpfung

bei 26,56 GHz
SDD21 11 18 1,5 Mio. dB
19,75 2,0 Mio.
25.3 1,5 Mio.

Differential zu

Gleichtaktrückgabe Verlust

SCD11/2 2

Für 0,05 ≤ f ≤ 40 GHz, wobei f die Frequenz in GHz ist.

dB

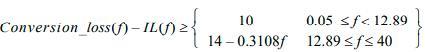
Differential zu

Gleichtakt-Umwandlungsverlust
SCD21-S DD21

Für 0,05 ≤ f ≤ 40 GHz, wobei f die Frequenz in GHz ist.

dB

Gleichtakt-zu-Gleichtakt-Rückkehr Verlust

SCC11/2 2

RLcc(f)≥1,8

Für 0,05 ≤ f ≤ 40 GHz, wobei f die Frequenz in GHz ist.

dB
Mindest-COM COM 3 dB

Pin-Beschreibung

800G IB NDR OSFP Breakout to 2xOSFP Direct Attached Cable

Elektrische Pinbelegungsdetails für OSFP

800G OSFP to 2x400G OSFP DAC Cable

800G OSFP to 2x400G OSFP DAC Cable

Modulspeicherbelegung

Kompatibel mit CMIS Rev. 5.0 oder späteren CMIS-Revisionen und Kundenspezifikationen.

Mechanische Abmessungen

800G IB NDR OSFP Breakout to 2xOSFP Direct Attached Cable

800G IB NDR OSFP Breakout to 2xOSFP Direct Attached Cable

P0 ENDE P1 & P2 ENDE
MESSGERÄT OD BIEGENRADIUS „R“ MIN. BIEGERADIUS „L“ MESSGERÄT OD BIEGENRADIUS „R“ MIN. BIEGERADIUS „L“
28AWG 10,2 mm 21 mm 81 mm 28AWG 7,0 mm 14 mm 75 mm
26/25AWG 12,1 mm 25 mm 85 mm 26/25AWG 8,3 mm 17 mm 78 mm

Bestellinformationen

Modellnummer Beschreibung
DAC-1X2-8/4-M5 800G IB NDR OSFP zu 2xOSFP DAC, Hairtail+, 0,5 m, 28AWG, Silbergrau.
DAC-1X2-8/4-1M 800G IB NDR OSFP zu 2xOSFP DAC, Hairtail+, 1,0 m, 28 AWG, Silbergrau.
DAC-1X2-8/4-1M5 800G IB NDR OSFP auf 2xOSFP DAC, Hairtail+, 1,5 m, 26/25 AWG, Silbergrau.
DAC-1X2-8/4-2M 800G IB NDR OSFP auf 2xOSFP DAC, Hairtail+, 2,0 m, 26/25 AWG, Silbergrau.
DAC-1X2-8/4-2M5 800G IB NDR OSFP auf 2xOSFP DAC, Hairtail+, 2,5 m, 25 AWG, Silbergrau.
DAC-1X2-8/4-3M 800G IB NDR OSFP zu 2xOSFP DAC, Hairtail+, 3,0 m, 25 AWG, Silbergrau.

Referenzen

  • IB NDR & IEEE802.3ck
  • OSFP MSA Rev5.0
  • Common Management Interface Specification (CMIS) Rev5.0

Möchten Sie mehr über dieses Produkt erfahren?

SENDEN SIE EINE Nachricht
eine Nachricht hinterlassen

WENN Sie sind an unseren Produkten interessiert und möchten mehr Details erfahren, bitte hinterlassen Sie hier eine Nachricht, wir antworten Ihnen so schnell wie wir.

Ähnliche Produkte
100G QSFP28 AOC cable 100g Qsfp28 AOC Transceiver
bis zu 27,952gbps Datenrate Per KanalMax-Verknüpfung bis zu 100m auf OM3 Kabel und 150m auf om4 Kabel. Hohe Zuverlässigkeit 850nm Vcsel Technologieelektrisch Hot-PlugGable Energieeffizient Low EMI Design
40G QSFP AOC cable 40g Qsfp + AOC Transceiver
bis zu 4x10gbps DatenrateMax-Verknüpfung bis zu 100m auf OM3 Kabel und 150m auf om4 Kabel. Hohe Zuverlässigkeit 850nm Vcsel Technologieelektrisch Hot-PlugGable Energieeffizient Low EMI Design
400G QSFP-DD DOC cable 400g Qsfp-dd DAC Transceiver
Qsfp-dd MSA, bis zu 8x 53.125 GB / S, 400g DAC Kabel Hohe Zuverlässigkeit 850nm Vcsel Technologieelektrisch Hot-PlugGable Energieeffizient Low EMI Design
10G QSFP28 AOC cable SFP AOC Transceiver
SFP + 10g Daten, SFP28 25g Daten Hohe Zuverlässigkeit 850nm Vcsel Technologieelektrisch Hot-PlugGable Energieeffizient Low EMI Design
200G QSFP56 DOC cable 200g Qsfp56 DAC Transceiver
Qsfp56 MSA, bis zu 4x 53.125 GB / S, 200g DAC Kabel Hohe Zuverlässigkeit 850nm Vcsel Technologieelektrisch Hot-PlugGable Energieeffizient Low EMI Design
100G QSFP28 DOC cable 100g Qsfp28 DAC Transceiver
Qsfp28 MSA, bis zu 4x 25 GB / S, 100g DAC Kabel Hohe Zuverlässigkeit 850nm Vcsel Technologieelektrisch Hot-PlugGable Energieeffizient Low EMI Design
40G QSFP+ DOC cable 40g Qsfp + DAC Transceiver
Qsfp28 MSA, bis zu 4x 10 GB / s, 40g DAC Kabel Hohe Zuverlässigkeit 850nm Vcsel Technologieelektrisch Hot-PlugGable Energieeffizient Low EMI Design
10G SFP+ DOC cable SFP DAC Transceiver
SFP + MSA, 10g DAC Kabel; SFP28 MSA, 25g DAC Kabel Hohe Zuverlässigkeit 850nm Vcsel Technologieelektrisch Hot-PlugGable Energieeffizient Low EMI Design
eine Nachricht hinterlassen
eine Nachricht hinterlassen
WENN Sie sind an unseren Produkten interessiert und möchten mehr Details erfahren, bitte hinterlassen Sie hier eine Nachricht, wir antworten Ihnen so schnell wie wir.

Heim

Produkte

um

Kontakt